Feasibility Analysis of Production Capacity, Valuation, and Profitability of Zijin Mining for 2025-2028
Unlock More Features
Login to access AI-powered analysis, deep research reports and more advanced features
About us: Ginlix AI is the AI Investment Copilot powered by real data, bridging advanced AI with professional financial databases to provide verifiable, truth-based answers. Please use the chat box below to ask any financial question.
Related Stocks
Zijin Mining’s current stock price is 33.53 yuan, corresponding to a market capitalization of approximately 889.6 billion yuan, with a YTD increase of over 120% in 2025. This reflects the market has already given a high premium driven by the dual engines of “production capacity expansion + high precious metal prices”. Based on the DCF model provided by Jinling API, the implied values under conservative/neutral/optimistic scenarios are 32.38 yuan, 38.39 yuan, and 60.13 yuan respectively, with an implied WACC of about 11.9%. The net profit in 2028 is expected to remain below 100 billion yuan, indicating further performance realization or price increases are needed to support higher future expectations in terms of valuation. [0]
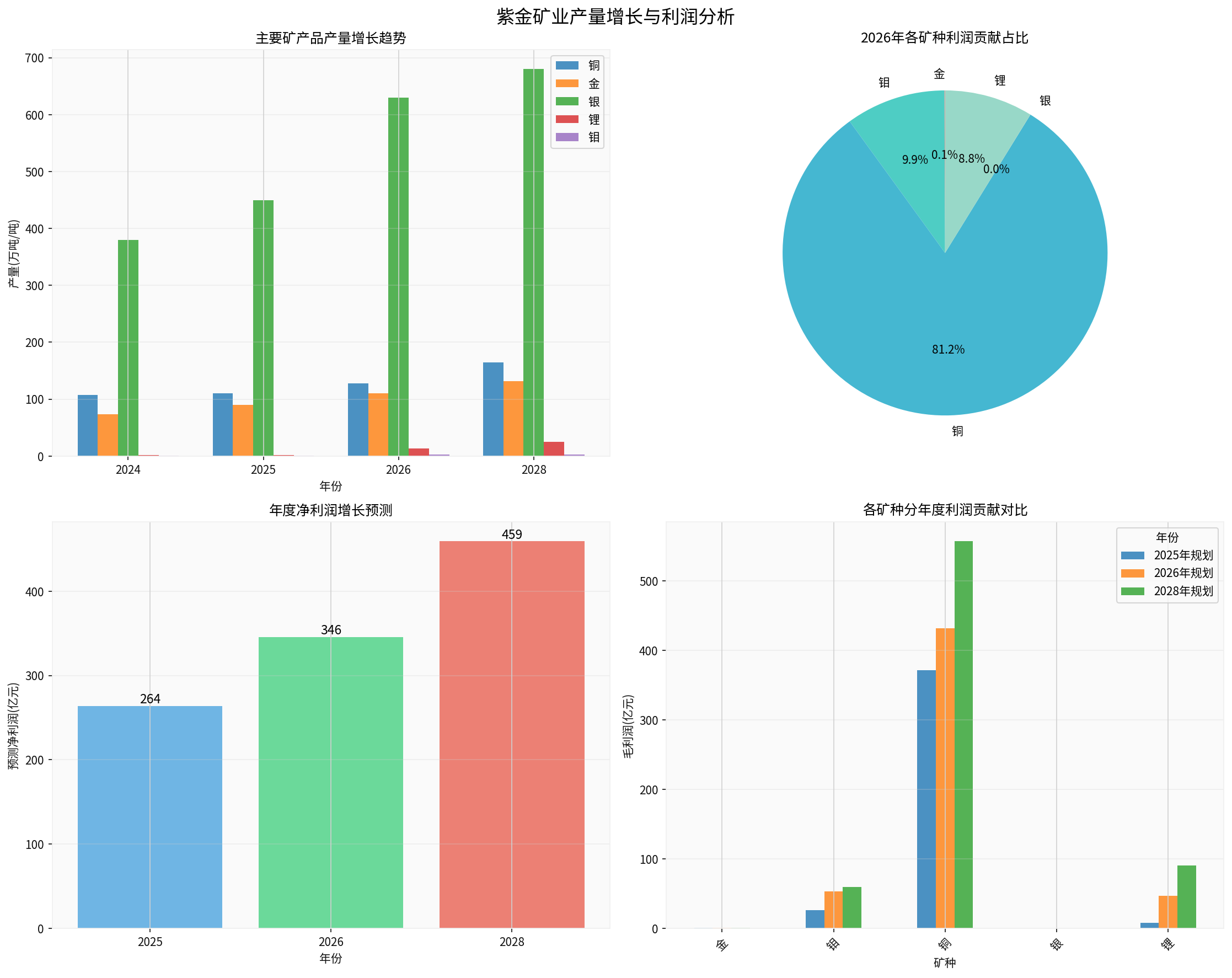
- Production Expectations:According to the company’s disclosures and market estimates (including East Money’s “Trillion Zijin” and “Hundred-Yuan Target” series reports), the planned copper production for 2025/2026/2028 is 1.1 million / 1.28 million / 1.65 million tons respectively; gold production is 90 / 110 / 132 tons; lithium production will jump from 22,000 tons in 2024 to 250,000 tons in 2028; molybdenum production will also expand from 12,000 tons to 27,000 tons, forming a three-pronged driver of copper, gold, and lithium to jointly boost revenue growth. [1]
- Key Project Rhythm:Projects such as巨龙 Phase II, Haiyu Gold Mine, Porgera Gold Mine, Xiangyuan Lithium Mine, Kamoa-Kakula Phase III, and Timok Lower Zone will be commissioned/achieved full production from 2025 to 2028 (copper increment of approximately 200,000 + 300,000 tons, gold capacity +30 tons, lithium capacity +220,000 tons), providing quantifiable support for production growth. Meanwhile, the company maintains stable contributions from silver, tungsten, lead-zinc, and other varieties to further stabilize cash flow. [0][1]
- Price and Cost Elasticity:The market generally expects precious metals to remain in a “bull market”, with gold prices possibly exceeding 5,000 USD per ounce, copper prices approaching 12,500 USD per ton, and lithium prices continuing to rise from 120,000 yuan to 150,000 yuan or even higher. The combination of an increase in the proportion of high-grade metals and scale effects is expected to push the gross profit margin from 14.7% in 2024 to over 16%. [2]
- Profit Simulation Based on Production × Price:Custom calculations show that at current price levels (copper price: 75,000 yuan per ton, gold price: 580 yuan per gram, lithium price: 120,000 yuan per ton), the comprehensive net profit for 2025-2028 will be approximately 34.2 billion / 50.3 billion / 64.5 billion yuan respectively; under optimistic prices, the net profit in 2026 will be about 58 billion yuan, and in 2028 it can reach 74.6 billion yuan. Even in the most optimistic scenario, it will still be below 100 billion yuan in 2026, requiring sustained high prices + additional net profit margin improvements to move toward the 100 billion yuan target; by 2028, if prices match capacity and the net profit margin rises to over 18%, the probability of net profit exceeding 100 billion yuan will increase significantly. [0]
- Sensitivity Conclusion:To achieve the 100 billion yuan net profit target in 2026, gold prices need to reach 5,000 USD, copper prices 12,500 USD, lithium prices ≥150,000 yuan, and the net profit margin needs to rise from the current 14.7% to about 16.5%; by 2028, the net profit margin needs to reach over 20%. This process is highly dependent on metal prices, production stability, and cost control—any delay in any link will postpone the target.
- Clear production expansion rhythm; multi-mineral overlap stabilizes the revenue structure;
- Capital investment focuses on high-profit paths (copper, gold, lithium) with high incremental returns;
- Market valuation still has room to return to the optimistic scenario (positive deviation from the baseline DCF), low interest costs, and controllable net liabilities.
- Metal price fluctuations, stronger USD, or weaker global demand will directly reduce profits;
- Project construction/geopolitical risks (power supply in Congo, Laos, Kazakhstan, etc.) and production speed;
- Lithium prices are greatly affected by new energy vehicle after-sales and downstream inventory, and price corrections may significantly compress high-growth assumptions.
- Chart 1(Production and Profit Linkage): Shows the production jump of copper/gold/silver/lithium/molybdenum from 2024 to 2028 and corresponding profit contributions, with the proportion gradually shifting from copper-gold dominance to lithium-molybdenum supplementation, supporting the “multi-mineral + high price” profit compound wave. Source 0
- Chart 2(Price/Net Profit Margin Sensitivity): Net profit differences are significant under different price scenarios. The 100 billion yuan target in 2026 requires “optimistic prices + net profit margin improvement”. By 2028, higher profit elasticity can be achieved under optimistic prices/higher net profit margins, and the 100 billion yuan line in the chart directly reflects the achievement conditions. Source 0
Zijin Mining’s multi-mineral production and high-value projects have high expectations from 2025 to 2028. Capacity release + precious metal price resonance is the core logic for profit expansion. If metal prices remain in the optimistic range and new projects are commissioned on schedule, achieving the “100 billion yuan in 2026” target is still difficult, but “achieving 150 billion yuan around 2028” has a higher probability. Investment points to focus on: ① Core project commissioning rhythm and per-ton cost control; ② Real-time metal price quotes and downstream demand; ③ Whether leverage and dividend strategies are synchronized with profit release. If the above conditions continue to improve, you can gradually increase positions during valuation adjustment windows; otherwise, use a phased strategy to control drawdowns.
[0] Jinling AI API Data (real-time market, company profile, financial analysis, DCF, technical analysis, custom Python calculations)
[1] Caifuhao - “Trillion Zijin in March, Hundred-Yuan Target Not Far” (https://caifuhao.eastmoney.com/news/20251221212117767373850)
[2] CNYES - “Gold Price Hits New High This Year, Precious Metal Sector Continues to Rise” (https://news.cnyes.com/news/id/6286629)
Insights are generated using AI models and historical data for informational purposes only. They do not constitute investment advice or recommendations. Past performance is not indicative of future results.
About us: Ginlix AI is the AI Investment Copilot powered by real data, bridging advanced AI with professional financial databases to provide verifiable, truth-based answers. Please use the chat box below to ask any financial question.
