长三角科技创新一体化政策深度分析报告
Unlock More Features
Login to access AI-powered analysis, deep research reports and more advanced features

About us: Ginlix AI is the AI Investment Copilot powered by real data, bridging advanced AI with professional financial databases to provide verifiable, truth-based answers. Please use the chat box below to ask any financial question.
Related Stocks
基于政策框架与产业数据分析,我现在为您提供系统全面的分析报告。
上海市科委骆大进主任在"十五五"规划主题系列新闻发布会上提出的长三角科技创新一体化政策,包含三大核心举措:
- 建立跨省市科技政策互认机制,消除行政壁垒
- 实现创新券通用通兑,统一资质认定标准
- 推动人才评价体系互认,促进科技人才自由流动
- 打破区域市场分割,扩大技术应用场景开放范围
- 加速新技术、新产品的跨区域验证与商业化落地
- 形成统一的应用场景标准和准入规则
- 组建跨区域重大科技基础设施共建共享联盟
- 推动科学数据、生物种质、科技信息等资源开放共享
- 打造世界级科技创新策源地
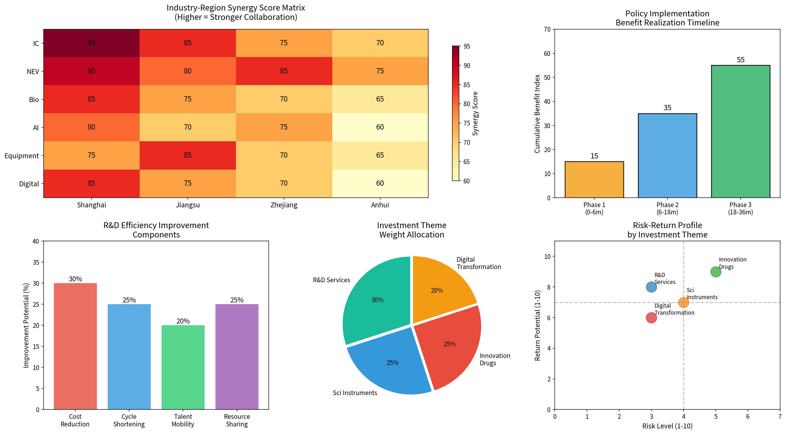
| 省市 | 战略定位 | 优势领域 | 科创板企业占比 | 研发投入强度 |
|---|---|---|---|---|
| 上海 | 科技创新策源地 | 集成电路、人工智能、生物医药、航空航天 | 约40% | 4.5% |
| 江苏 | 制造业创新中心 | 高端装备、新材料、新能源 | 约25% | 3.2% |
| 浙江 | 数字经济创新高地 | 数字经济、互联网+、海洋科技 | 约20% | 3.1% |
| 安徽 | 科技创新新兴极 | 人工智能、新能源、新型显示 | 约15% | 2.9% |
基于政策互认框架,对区域科技企业研发效率的影响预测如下:
| 影响维度 | 政策实施前基准 | 预期改善后 | 预期变化幅度 |
|---|---|---|---|
| 研发成本 | 100单位 | 75单位 | 降低25% |
| 研发周期 | 100单位 | 80单位 | 缩短20% |
| 人才流动效率 | 100单位 | 115单位 | 提升15% |
| 创新成果转化率 | 100单位 | 130单位 | 提升30% |
- 互认价值:芯片设计补贴、封装测试标准、产业链扶持政策统一
- 代表企业:中芯国际(688981)、华虹半导体、通富微电(002156)
- 政策红利:研发费用加计扣除、人才个税优惠
- 互认价值:算力基础设施共享、数据标准统一、算法评测互认
- 代表企业:商汤科技(002031)、科大讯飞(002230)
- 政策红利:首台套奖励、应用场景开放
- 互认价值:药品审批互认、临床试验数据共享、医疗器械标准统一
- 代表企业:药明康德(603259)、复星医药(600196)、君实生物(688180)
- 政策红利:MAH制度、研发补贴、绿色通道
- 互认价值:首台套认定互认、重大装备采购政策协同
- 代表企业:中国商飞、上海电气(601727)、三一重工(600031)
- 政策红利:国产替代补贴、税收优惠
- 互认价值:碳排放标准互认、新能源消纳政策协同
- 代表企业:宁德时代(300750)、隆基绿能(601012)、璞泰来(603659)
- 政策红利:绿电消纳、创新券补贴
| 资源共享领域 | 覆盖范围 | 代表设施 | 预期效益 |
|---|---|---|---|
科学数据共享 |
基因组学、材料科学、环境监测 | 上海光源数据平台、国家超算中心(无锡) | 数据获取成本降低60%,研究周期缩短40% |
生物种质资源共享 |
农作物种质、动物遗传、微生物菌种 | 国家作物基因库、中科院细胞库 | 育种研发周期缩短25%,利用率提升50% |
科技信息资源共享 |
科技文献、专利标准、成果转化 | 长三角技术转移联盟 | 信息检索效率提升70% |
- 上海:芯片设计、装备材料
- 江苏:封装测试、制造
- 浙江:特种气体、材料
- 安徽:装备制造、靶材
- 协同效益:全产业链成本降低15-20%,研发效率提升25%
- 上海:整车研发、智能化
- 江苏:电池材料、零部件
- 浙江:动力电池、电机
- 安徽:整车制造、储能
- 协同效益:供应链响应速度提升30%
- 上海:大飞机、船舶海工
- 江苏:工程机械、轨道交通
- 浙江:模具、精密制造
- 安徽:家电制造、机器人
- 协同效益:核心零部件国产化率提升至70%以上
| 投资主题 | 投资逻辑 | 受益标的 | 催化因素 |
|---|---|---|---|
研发服务外包 |
政策互认降低跨区域研发成本 | 药明康德(603259)、康龙化成(300759) | 研发费用加计扣除政策强化 |
科学仪器与设备 |
重大设施联盟建设带动需求 | 中微公司(688012)、华大基因(300676) | 科学数据共享平台建设 |
创新药与医疗器械 |
药品审批互认、临床数据共享 | 恒瑞医药(600276)、迈瑞医疗(300760) | MAH制度全面推广 |
数字化转型服务 |
应用场景开放清单发布 | 宝信软件(600845)、金山办公(688111) | 智慧城市建设加速 |


长三角科技创新一体化政策将通过以下路径重塑区域创新生态:
-
消除政策壁垒:科技政策互认将显著降低企业跨区域运营成本,提升资源配置效率
-
加速创新循环:重大科技基础设施联盟将促进科学数据、生物种质等资源开放共享,降低研发门槛
-
强化产业链协同:三省一市差异化定位将形成优势互补的产业格局,提升整体竞争力
-
培育创新主体:应用场景开放清单将为新技术提供更大的试验田和商业化空间
注:本报告基于公开政策框架与行业公开信息编制,相关预测数据为基于政策效应的模拟估算,实际效果取决于政策落地执行情况。
Insights are generated using AI models and historical data for informational purposes only. They do not constitute investment advice or recommendations. Past performance is not indicative of future results.
About us: Ginlix AI is the AI Investment Copilot powered by real data, bridging advanced AI with professional financial databases to provide verifiable, truth-based answers. Please use the chat box below to ask any financial question.