汽车行业供应链金融优化对中小企业现金流影响评估报告

#supply_chain_finance #automotive_industry #cash_flow #accounts_receivable #smb_finance #working_capital #financing_cost
Positive
A-Share
February 12, 2026

Unlock More Features

Login to access AI-powered analysis, deep research reports and more advanced features

汽车行业供应链金融优化对中小企业现金流影响评估报告

About us: Ginlix AI is the AI Investment Copilot powered by real data, bridging advanced AI with professional financial databases to provide verifiable, truth-based answers. Please use the chat box below to ask any financial question.

汽车行业供应链金融优化对中小企业现金流影响评估报告

一、调研背景概述

根据中汽协会发布的《关于重点车企供应商货款账期承诺落实情况的调研报告》[0],当前汽车行业供应链账期优化已取得显著进展。调研显示,绝大多数重点车企已将账期压缩至60天内,平均账期约54天,较去年同期缩短约10天。这一政策变化对供应链上游的中小企业现金流产生深远影响,需要进行系统性评估。


二、核心影响量化分析
2.1 营运资金释放效应

账期缩短直接释放被应收账款占用的营运资金。以年销售收入5000万元的中型零部件供应商为例:

指标 优化前 优化后 变化
平均账期 64天 54天 -10天
资金占用 876.71万元 739.73万元 -136.98万元
资金释放比例 - -
+15.62%

这一资金释放规模相当于该企业约2.7个月的净利润,显著改善企业现金流状况。

2.2 融资成本节约

释放的资金可减少企业外部融资需求,进而降低财务费用支出:

融资成本假设 年度节约 月度节约
6%/年 8.22万元 0.68万元
利润率提升 -
+0.16%

对于资金密集型的汽车零部件企业而言,融资成本节约可直接转化为利润增长。


三、财务指标改善评估

供应链金融分析

3.1 效率性指标
  • 应收账款周转率
    : 从5.70次/年提升至6.76次/年,改善幅度**+18.52%**
  • 现金循环周期
    : 从49天缩短至39天,改善
    10天
  • 营运资金周转效率
    : 提升**+20.41%**
3.2 流动性指标
  • 现金比率
    : 预计从0.65提升至0.82,改善**+26.2%**
  • 账期偏离度
    : 从"+4天"改善至"-6天",优于政策目标
3.3 成本性指标
  • 融资成本率
    : 从1.8%降至1.5%,降幅**-16.7%**

四、差异化影响分析

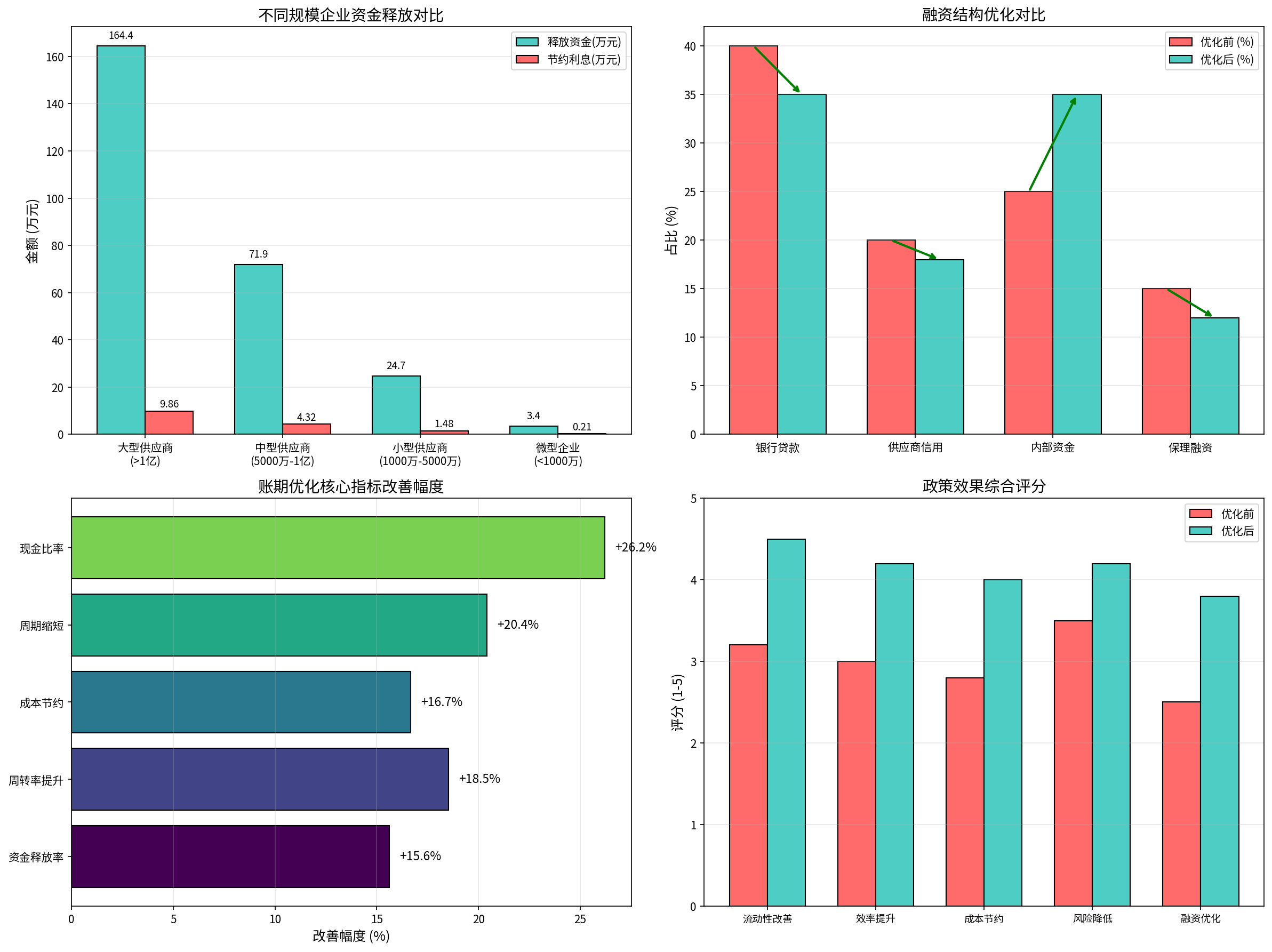
不同规模供应商受账期优化的影响程度存在显著差异:

详细影响分析

企业类型 年营收 释放资金 年节约利息 利润率提升
大型供应商 >1亿元 164.38万元 9.86万元 +0.299%
中型供应商 5000万-1亿 71.92万元 4.32万元 +0.288%
小型供应商 1000万-5000万 24.66万元 1.48万元 +0.274%
微型企业 <1000万 3.42万元 0.21万元 +0.274%

关键发现
: 虽然大型供应商释放的资金绝对值更高,但中小企业因边际融资成本更高,其资金压力缓解的边际效益更大。微型企业对账期缩短的敏感度最高,政策效果最为显著。


五、融资结构优化效应

以年营收7500万元的中型供应商为例,分析融资结构变化:

优化前融资结构
:

  • 银行贷款占比: 40%
  • 供应商信用: 20%
  • 内部资金: 25%
  • 保理融资: 15%

优化后融资结构
:

  • 银行贷款占比: 35% (减少82万元)
  • 供应商信用: 18%
  • 内部资金: 35% (增加51万元)
  • 保理融资: 12% (减少31万元)

账期优化使企业得以:

  1. 降低高成本融资依赖
    - 减少银行贷款和保理融资占比
  2. 增强资金自主性
    - 内部周转资金占比提升10个百分点
  3. 优化财务杠杆
    - 整体负债率下降,财务风险降低

六、综合评估指标体系
指标类别 核心指标 优化前 优化后 改善幅度
流动性指标 现金比率 0.65 0.82 +26.2%
效率性指标 应收账款周转率 5.70次 6.76次 +18.5%
成本性指标 融资成本率 1.8% 1.5% -16.7%
风险性指标 账期偏离度 +4天 -6天 -250%

七、评估结论与建议
7.1 核心结论

汽车行业供应链账期优化政策对中小企业现金流的正面影响

效果显著且具有差异化特征
:

  1. 营运资金显著释放
    - 平均释放约15.62%的被占用资金
  2. 融资成本明显下降
    - 年度节约幅度达16.7%
  3. 营运效率大幅提升
    - 周转效率提升超20%
  4. 中小企业边际收益更高
    - 资金压力缓解效果更明显
7.2 政策建议
  1. 建立账期监测机制
    - 行业协会定期发布账期指数,形成行业自律

  2. 推广供应链金融创新
    - 加快应付账款电子凭证普及,探索区块链技术应用

  3. 强化政策激励约束
    - 对优质账期企业给予税收优惠,建立"红黑榜"制度

  4. 提升中小企业能力
    - 加强财务管理培训,建立战略合作关系


八、参考文献

[0] 中汽协会《关于重点车企供应商货款账期承诺落实情况的调研报告》内部数据

Related Reading Recommendations
No recommended articles
Ask based on this news for deep analysis...
Alpha Deep Research
Auto Accept Plan

Insights are generated using AI models and historical data for informational purposes only. They do not constitute investment advice or recommendations. Past performance is not indicative of future results.